隨著中國汽車工業的飛速發展,近年來,四輪定位儀在汽車維修行業中得到了越來越廣泛的應用。
四輪定位儀從十幾年前國外少數幾家品牌的一統天下,一臺設備十幾萬甚至幾十萬的高價的時代,到現在國內幾十個廠家研發、生產、組裝,價格在世界同類產品中低的時代。國內企業對四輪定位儀從十幾年前的不懂、不用,到現在廣泛應用于修理廠、快修店及輪胎店中,使其成為汽車維修工作中必不可少的修理設備。中國的汽保企業,走過了從進口、組裝、自行研發到出口的全過程。
四輪定位儀無疑是汽車修理廠維修設備中單臺設備價格較貴的幾種大型設備之一。其技術含量、技術附加值也相對較高。由于利潤驅使,一些公司在研發、培訓、售后服務系統尚未健全的情況下,草率走向市場,甚至個別公司通過虛假廣告宣傳,夸大產品的使用功能,編造假數據,欺騙客戶,從中漁利。那么,客戶應如何辨別四輪定位儀的質量好壞呢?本文簡述了市場上主要四輪定位儀的工作原理及常見問題,提出了規范市場的一點建議,希望能對有關部門及讀者有所幫助。
一、測得準是重要的指標
四輪定位儀是一臺測量儀器,對于測量儀器來說測得準是重要的。要讓四輪定位儀在維修中物盡其用,須保證其準確度。無論哪一種測量方式,哪一臺機器,在同一時間段,對于測量同一臺車來說都應只有一個結果,我們稱其為一致性。使用同一臺機器在同一時間段內多次測量同一臺車,也應只有一個結果,我們稱其為重復性。一致性和重復性是測量儀器的重要的指標。
由于近代汽車工業的迅速發展,特別是高速公路的發展,使汽車速度提高得很快,對汽車行駛系的定位精度也提出了更高的要求,一般要求如下:
前束: ±4′
外傾角: ±4′
主銷后傾角:±4′
為了測得準,好一些的定位儀都有不同的消除誤差的方法。一般常用的有:
1、鋼圈補償功能(ROC)
所有的卡具,不論是三點快速卡具還是多功能卡具,與鋼圈卡緊后都不可能達到車輪的要求的0.05度的裝卡精度,為此所有高精度的四輪定位儀都設有鋼圈補償程序。典型的鋼圈補償有二點式補償、三點式補償、推車式補償方式,如圖六所示為鋼圈與卡具有裝卡誤差時,在外傾角方向上存在偏差a,輪胎旋轉180度存在偏差b,兩數相減除以2即可求出誤差值。精度較高的四輪定位儀在一次裝卡中的精度為0.1至0.3之間,故需要做鋼圈補償,可將誤差減小到0.01度以內。
2、跑臺校準功能
如圖二所示,當舉升機存在微小的誤差時,有些四輪定位儀有專門的校正程序以消除微小的誤差。
3、校準功能
4、溫度補償
5、其他功能
經過補償和校準,定位儀應達到上述的測量精度。為了保持四輪定位儀長期準確的可靠性,四輪定位儀需要定期(可分為3個月、6個月和一年不等)校準,根據產品的不同可分為定期回廠校準或自帶校準工具校準。
二、 目前國內市場多種四輪定位品牌
從技術上分析,對于外傾角的測量,大都采用專用的測量儀,有電磁式、霍爾式、電容式等等。帶有溫度補償和精度較高的價格較貴;而有些不帶溫度補償和精度較低的產品,價格相對低一些。大部分廠家都會考慮精度和成本的關系進行取舍,而用戶則可以從實測精度、重復性上來進行判斷。
對于束角的測量,目前占市場95%以上的產品不外乎:激光、PSD、CCD、和3D。
激光測量方式是一種比較老的技術,實際上是把讀尺方式換成用光電元件測出信號,用計算機顯示出來。
圖三所示是國內常見的激光四輪定位基本測量原理。X為輪距Y為左輪激光偏轉后在右輪接收頭上產生的零點到激光射入點的距離。左輪偏離為α=arctg y/x
圖四為激光二級管測量系統圖。
從圖四中可以看出,在前左、前右、后左、后右輪橫向分別有4個接收器。而縱向則有4把標尺,如圖五所示。

圖五
這是因為這一測量系統的精度很大程度取決于橫座標X。而橫向輪距一般在1.2m—1.6m,平均值為1.4m。α=arctg y/x的誤差在0.1到0.3左右,而在縱向,因軸距相差太大,例如微面在1.2m左右,而奔馳在2.7m左右,角度測不準,所以采用標尺。
這一測量系統的測量步驟如下:
1) 讀出總前束值
2)按出廠數據調整前輪至出廠規定總前束值
3) 看后輪標尺上,左右側前輪縱向激光線讀數,相加除以2
4) 將左右前束調整到計算出來的數值。從上面調整步驟可以看出,這一測量系統利用標尺激光系統,前束按照推力線的基準調整,但由于采用目測讀尺方式,精度較差,估計在0.5度左右。
綜上我們可以看到激光測量范圍窄,無補償且需要人工計算推力線,其測量精度較低,檢測速度也較慢。由于激光產品的對人眼視力有一些損害,所以UL、CE等安 全認證很難通過,在北美、歐洲、日本市場很難見到。目前,只是在中國和東南亞等市場上尚有一些應用 。
PSD是一種光電器件,它是一種非分割型器件,可將光敏面上的光點位置轉換成電信號。當一束光射到PSD的光敏面上時,在同一面上的不同電極之間將會有電流通過,這種電壓或電流隨著光點位置變化而變化的現象就是半導體的橫向光電效應。

圖六
如圖六所示,P層為感光面,兩邊各有一個信號輸出電極;I區較厚但具有更高的光電轉換效率,更高的靈敏度和響應速度;底層N引出一個公共電極,用來加反偏電壓。
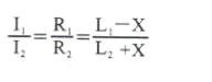
當入射光照射到光敏面上某點時,由于平行于結平面的橫向電場的作用,光生載流電子形成向兩端電極流動的電流I1和I2,它們的和等于總電流I0。如果PSD的面電阻是均勻的,且其阻值R1和R2遠大于負載電阻R1,則R1和R2的值僅取決于入射光的位置,此時有以下關系成立:

(1)
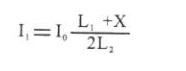
式中,L1、L2為PSD中點到信號電極間的距離;X為入射點距PSD中點的距離。把I0=I1+I2代入(1)式,經計算的:

(2)

(3)
由(2)和(3)可以看出,當入射光點位置一定時,PSD單個電極輸出電流與總電流成正比,即與入射光強成正比(總電流與入射光強成正比);當入射光強不變時,單個電極的輸出電流與入射光點距PSD中 心的距離X成線性關系。PSD就是利用此原理來測量前束角度的。
PSD測量方式測量范圍相對比較窄,且受環境光及溫度的影響較大,如果有其他的背景光線或反射的、折射的光線射入PSD,那么就會輸出不正確的數據;環境溫度的微弱變化也會引起PSD輸出電流的變化,從而影響系統測量的精度,因此,PSD產品的精度和穩定性較差,需要經常對設備進行校正。美國HUNTER公司、丹麥奧普特公司都曾經采用這一技術,但克服以上問題需增加大量成本,這兩家公司在2000年后都推出了CCD方式,停止了PSD方式定位儀生產。但是,由于其技術要求不高,結構相對簡單,成本低廉,目前,在我國大量韓國機芯仍然采用PSD傳感器。這是造成某些定位儀的測量不準,重復性差的主要原因。
CCD元件為數字元件,應用在四輪定位儀上的CCD一般為線陣結構。幾千個相對獨立的像敏單元以13-14微米的相鄰距離分布在一條直線上。光線照射到像敏單元產生信號電荷,信號電荷在外部脈沖的作用下直接輸入傳感器的微電腦處理器進行處理,從而準確的計算出入射光的角度以及前束角度。
如圖七所示:
紅外燈為點光源。α=arctg y/x, x為焦距,y為CCD零點到光點的距離。CCD元件為數字元件,從左到右40mm長的距離上,排列著兩千多個像素。
圖八為紅外線CCD系統測量圖,它是八發射八接收的閉環系統,實時顯示車輪數據,測量過程均由計算機處理從而保證測量的高精度,其測量精度在0.05度以內。

由于CCD上像敏單元分布均勻,其線性度好,因此,這種測量方式的測量精度較高。目前,國外幾大知名品牌如:科基、戰車、亨特、百世霸RAV等硬件都采用了CCD技術。由于CCD數字技術元件不受電壓、溫度等變化的影響,使其具有測量精度穩定,軟件完善后,可不受外來光線的干擾、成本相對較低等一系列優點。所以,在2001年專利壁壘解除后,國外各大公司在硬件上都采用了這一技術。國內也有少數幾個公司采用了這一技術,比如上海優耐特衡臣。
3D測量方式的基本測量原理是采用圖像識別技術,用CCD數碼相機采集裝在車輪反光板上的圖像信息,以測量出車輪的相對精度,其關鍵專利是當車輛放在舉升機上,人工推動車輪前后移動,此時車輪旋轉達半圈左右,反光板上的光點在室間劃出一個弧線。CCD攝像頭捕捉到這一弧線中的空間各點位置。測算出空間弧線的法線,求出其坐標及角度。3D的優點是取代了傳統的裝有高精度光學電子裝置的傳感器,僅用一塊反光板做靶標。但繁瑣的標定方式,并不太快的測量速度使客戶難以接受。同時對舉升機、轉角盤等有嚴格的機械精度的要求和美國公司嚴格的專利保護,造成了其昂貴的價格。
三、 采用蘭牙通訊協議的方式,僅僅是四輪定位儀主機與傳感器之間通訊方式的一種
前一段時間,在各類雜志上蘭牙四輪定位儀廣告滿天,使許多用戶不得其實質。下面簡單列舉一下各種四輪定位儀主機與傳感器之間的通訊方式:
電纜通訊方式。
紅外通訊方式。
無線電通訊方式
1、433KHZ通訊
2、2.4GHZ通訊 直接模塊,如Ameco
蘭牙通訊模塊,如CSR、NOKIA等
3、2.7 GHZ 通訊
從以上可以看出,蘭牙通訊僅僅是眾多通訊方式中的一種,它不是測量方式,并不影響測量精度,也不是衡量一個定位儀優劣的主要指標。
;蘭牙通訊的標志是采用蘭牙通訊協議,硬件上采用蘭牙模塊,效果上抗干擾能力較強。而部分做的過關的無線電射頻通訊,都可以達到這一指標。
值得注意的是,據筆者了解,大部分國內的生產廠家,盡管廣告中寫的是蘭牙四輪定位儀,而實際上多采用上海或哈爾濱等幾家公司生產的433khz通訊模塊,名不副實。
四、售后服務與數據升級
四輪定位儀的服務與拆胎機的售后服務要求不同,而類似于故障診斷儀的服務,就是需要數據定期更新升級。與動平衡機相似的地方是要每隔半年或一年進行校準。還有某些新車調整方法,需要廠家定期介紹與培訓。
根據資料顯示,美國HUNTER公司的定位儀在美國市場上占有70%的市場份額,每年培訓客戶達上萬人次,這說明定位儀的售后服務是非常重要的。購買一臺電腦四輪定位儀,至少要幾萬元,所以在選擇上一定要慎重。既不能貪圖便宜,也不可貪大求洋,一定要尋找有技術研發實力,誠信可靠的有很強售后服務隊伍的廠家。
國內目前確實有個別廠家,車型數據看起來似乎很齊全,但是內行人一看,其中有為數不少的數據都是不準確的,既坑害了廠家,也欺騙了車主,筆者在此建議客戶購買時應慎重選擇。
五、 規范市場,保護廣大用戶的權益
由于四輪定位儀市場尚存一些利潤空間,必定引起生產廠商的激烈競爭,難免出現魚龍混雜、泥沙俱下的現象。為了保護廣大用戶的權益,規范市場,據筆者所知,交通部公路所和北京、遼寧、四川等地的技術監督部門都做了不少努力,制定了相應的檢定規程和技術標準。
目前所了解的情況是,檢定國內四輪定位儀所用的檢具,尚存有游隙過大,某些定位儀檢具不易安裝等問題。筆者建議應盡快改進檢具,盡早為廣大用戶提供簡單、實用的檢具。
隨著市場經濟的發展,購買四輪定位儀的客戶在購買設備時應該理智的進行市場調查,不能盲目地相信銷售人員的生花之嘴。要依靠法律來保護自己的權益,成為理智的消費者。像房地產、裝修市場一樣,訂立嚴謹的合同,是保護用戶、避免上當受騙的重要方法之一。
筆者建議是否可以由行業主管部門訂立專門的合同樣本,在技術規格和技術指標等事項上列出較為詳細的要求,以供廣大廠商和用戶在購買四輪定位儀時使用。
tags:QD-A型電子式前輪定位測量儀(數字型)廠家,QD-A型電子式前輪定位測量儀(數字型)價格